AndroidEdukacja i naukaProgramy dla uczniówPracaDomowa.pl
PracaDomowa.pl ikona

PracaDomowa.pl1.2

  • Slider item
  • Slider item
  • Slider item

PracaDomowa.pl to aplikacja, która ma nam pomóc w odrabianiu prac domowych z przedmiotów ścisłych. Zawiera podpowiedzi z zakresu od klasy czwartej szkoły podstawowej do trzeciej liceum, z przedmiotów takich jak: fizyka, chemia, geografia.

To właśnie od ich wyboru rozpoczynamy przygodę z programem. W następnej kolejności czeka nas określenie z jakiego podręcznika będą pochodziły zadania, możemy również zdecydować się na zaznaczenie wszystkich.

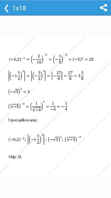
Korzystając z listy zadań wybieramy te odpowiednie na podstawie nr. oraz strony. Odpowiedź z większości przypadków jest podana w formie grafiki, którą musimy odpowiedni powiększyć. Nie jest to rozwiązanie wygodne, ale biorąc pod uwagę specyfikę możliwych rozwiązań (wzory) wydaje się optymalne.

Niestety spora część zadań ma podane jedynie odpowiedzi, brakuje im pełnego rozwiązania, które pozwoli prześledzić metodę dojścia do rozwiązania. Przez to aplikacja nie pomaga w nauce, a jedynie podsuwa gotowe rozwiązania. PracaDomowa.pl dostępna jest za darmo. Aplikacja ma w sobie potencjał, ale wymaga jeszcze dopracowania.

Ocena redakcji
3.5
Ocena użytkowników
-.-
Twoja ocena
Liczba pobrań966
Data aktualizacji22 maja 2015
System operacyjnyAndroid
LicencjaBezpłatna
PracaDomowa.pl ikonaMasz problem z tym programem?
Zapytaj na naszym forum
Opinie (0)

Wybrane dla Ciebie

Komentarze (0)